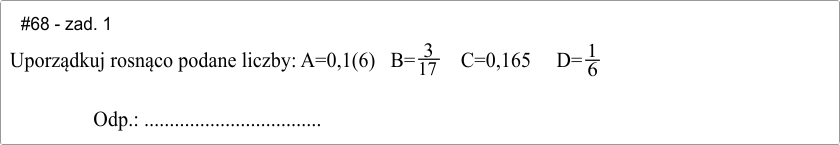
Powtórki #68 - zadania do samodzielnego rozwiązania


Zestaw 3 zadań bardzo podobnych do tych z rozwiązaniami (jeśli zamknąłeś wcześniejszą kartę, to zadania z rozwiązaniami są TUTAJ

Zadania można pobrać do druku w jednym pdf-ie (dwie grupy) TUTAJ (.pdf)

Jeśli rozwiązujesz podane niżej zadania online, to rysuj myszką lub zamiast "Rysowanie" wybierz "Tekst", kliknij w okienku i pisz z klawiatury.
Kiedy chcesz wysłać rozwiązania, to uzupełnij dane i kliknij na dole "Wyślij" - odbiorca otrzyma jeden obraz z zadaniami i Twoimi rozwiązaniami.